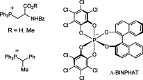
NMR Enantiodifferentiation of Triphenylphosphonium Salts by Chiral Hexacoordinated Phosphate Anions
Published inTetrahedron letters, vol. 44, no. 12, p. 2467-2471
Publication date2003
Abstract
Keywords
- NMR enantiodifferentiation
- Phosphonium salts
- Amino acids and derivatives
- BINPHAT
- TRISPHAT
- Chiral anions
Affiliation entities
Citation (ISO format)
HEBBE, Virginie et al. NMR Enantiodifferentiation of Triphenylphosphonium Salts by Chiral Hexacoordinated Phosphate Anions. In: Tetrahedron letters, 2003, vol. 44, n° 12, p. 2467–2471. doi: 10.1016/S0040-4039(03)00319-8
Main files (1)
Article
Identifiers
- PID : unige:7009
- DOI : 10.1016/S0040-4039(03)00319-8
Journal ISSN0040-4039
