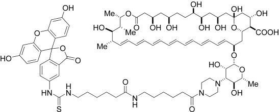
An Amphotericin B-Fluorescein Conjugate as a Powerful Probe for Biochemical Studies of the Membrane
Published inAngewandte Chemie, vol. 43, no. 39, p. 5181-5185
Publication date2004
Abstract
Keywords
- Antifungal agents
- Bioorganic chemistry
- Biophysics
- Fluorescent probes
- Synthetic methods
Affiliation entities
Citation (ISO format)
ZUMBUEHL, Andréas et al. An Amphotericin B-Fluorescein Conjugate as a Powerful Probe for Biochemical Studies of the Membrane. In: Angewandte Chemie, 2004, vol. 43, n° 39, p. 5181–5185. doi: 10.1002/anie.200460489
Main files (1)
Article
Identifiers
- PID : unige:6978
- DOI : 10.1002/anie.200460489
Journal ISSN1433-7851
