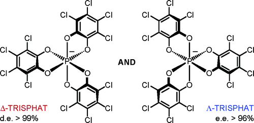
Large-Scale Synthesis and Resolution of TRISPHAT [Tris(tetrachlorobenzenediolato) phosphate(V)] Anion
Published inJournal of organic chemistry, vol. 69, no. 24, p. 8521-8524
Publication date2004
Abstract
Affiliation entities
Citation (ISO format)
FAVARGER, France et al. Large-Scale Synthesis and Resolution of TRISPHAT [Tris(tetrachlorobenzenediolato) phosphate(V)] Anion. In: Journal of organic chemistry, 2004, vol. 69, n° 24, p. 8521–8524. doi: 10.1021/jo048641q
Main files (1)
Article
Identifiers
- PID : unige:6949
- DOI : 10.1021/jo048641q
- PMID : 15549835
Journal ISSN0022-3263
