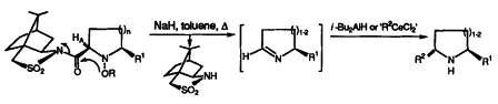
Diastereo- and Enantioselective Syntheses of (−)-Coniine, (−)-Solenopsin A, (−)-Solenopsis fugaz venom and (−)-Xenovenine via Deoxygenative Decarboxylation of 2-Carbonylsultam-Substituted N-Hydroxy-Piperidines and -Pyrrolidines
ContributorsVon Oppolzer, Wolfgang; Bochet, Christian; Merifield, Eric
Published inTetrahedron Letters, vol. 35, no. 38, p. 7015-7018
Publication date1994
Abstract
Affiliation entities
Citation (ISO format)
VON OPPOLZER, Wolfgang, BOCHET, Christian, MERIFIELD, Eric. Diastereo- and Enantioselective Syntheses of (−)-Coniine, (−)-Solenopsin A, (−)-Solenopsis fugaz venom and (−)-Xenovenine via Deoxygenative Decarboxylation of 2-Carbonylsultam-Substituted N-Hydroxy-Piperidines and -Pyrrolidines. In: Tetrahedron Letters, 1994, vol. 35, n° 38, p. 7015–7018. doi: 10.1016/0040-4039(94)88213-4
Main files (1)
Article (Published version)
Identifiers
- PID : unige:151913
- DOI : 10.1016/0040-4039(94)88213-4
Additional URL for this publicationhttps://linkinghub.elsevier.com/retrieve/pii/0040403994882134
Journal ISSN0040-4039
