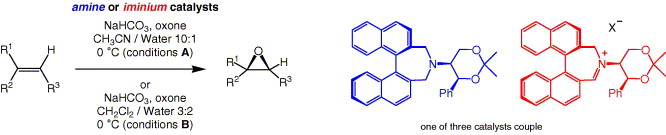
Enantioselective olefin epoxidation using homologous amine and iminium catalysts—a direct comparison
Published inTetrahedron letters, vol. 47, no. 30, p. 5297-5301
Publication date2006
Abstract
Affiliation entities
Citation (ISO format)
GONÇALVES, Maria-Héléna et al. Enantioselective olefin epoxidation using homologous amine and iminium catalysts—a direct comparison. In: Tetrahedron letters, 2006, vol. 47, n° 30, p. 5297–5301. doi: 10.1016/j.tetlet.2006.05.132
Main files (1)
Article
Identifiers
- PID : unige:7059
- DOI : 10.1016/j.tetlet.2006.05.132
Journal ISSN0040-4039
