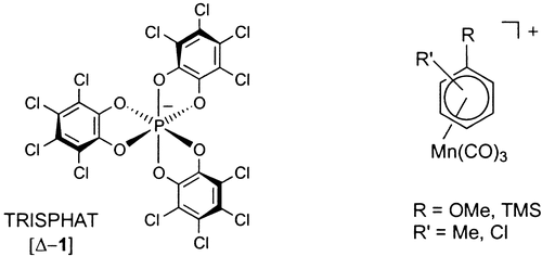
TRISPHAT Anion. An Efficient NMR Chiral Shift Counterion for Cationic Tricarbonyl Manganese Complexes with Planar Chirality
Published inOrganometallics, vol. 20, no. 19, p. 4107-4110
Publication date2001
Abstract
Affiliation entities
Citation (ISO format)
GINER PLANAS, José et al. TRISPHAT Anion. An Efficient NMR Chiral Shift Counterion for Cationic Tricarbonyl Manganese Complexes with Planar Chirality. In: Organometallics, 2001, vol. 20, n° 19, p. 4107–4110. doi: 10.1021/om010286w
Main files (1)
Article
Identifiers
- PID : unige:6939
- DOI : 10.1021/om010286w
Journal ISSN0276-7333
